Limit Math Is Fun - Due to the nature of the mathematics on this site it is best views in landscape mode.



Limit Math Is Fun - Due to the nature of the mathematics on this site it is best views in landscape mode.. 1,927 likes · 2 talking about this. But we can see what it should be as we get closer and closer! Prove that the following limit exists and calculate it These limits specify that a variable cannot store any value beyond these limits, for example an. It is a page for all of us to gather together and talk about all the interesting tricks in mathematics.

Alas, now no one can change the notation from: Math plays several distinct but interacting roles in human intellectual endeavor, so you. Children must score 80% or greater to advance to the next level. The macros defined in this header, limits the values of various variable types like char, int and long. These limits specify that a variable cannot store any value beyond these limits, for example an.

Math is fun | Math worksheets, help and how to multiply ...
Math is fun | Math worksheets, help and how to multiply ... from cdn-media1.teachertube.com
The macros defined in this header, limits the values of various variable types like char, int and long. Mathematics stack exchange is a question and answer site for people studying math at any level and professionals in related fields. Math for fun#5, most skipped limit problem on calc exams. Limits, a foundational tool in calculus, are used to determine whether a function or sequence approaches a fixed value as its argument or index. A pretty hard limit problem. Math is fun because it's instinctual to humans. Children must score 80% or greater to advance to the next level. Candidates who are ambitious to qualify the ah, that fun day in precal (or cal) where you get to tell your kids all that work with the f(x+h) is about to be forgotten.

Some people don't find math fun, but a polyhedron is a math formula and information about it can be found in a math textbook or on math is fun, euler's polyhedron formula, math munch and.

Sequences may be of numbers or other objects in some space. But we can see what it should be as we get closer and closer! Sebuah fungsi f(x) mempunyai jika dan hanya jika untuk sembarang bilangan real maka. Mathematics stack exchange is a question and answer site for people studying math at any level and professionals in related fields. Limit calculator solves the limits with steps free. Two sided , left hand and right hand limits. There are five different levels of addition and a fun bonus activity after each level. You should read limits (an introduction) first. Some people don't find math fun, but a polyhedron is a math formula and information about it can be found in a math textbook or on math is fun, euler's polyhedron formula, math munch and. Mathematics may not teach us how to add love or minus hate, but it gives us every reason hope that every problem has a solution. This is not very difficult, or what do you think? The main goal of the game is to fill in empty spaces of the puzzle. Audio helps children understand how to count and play the activity.

The limit calculator supports find a limit as x approaches any number including infinity. If the calculator did not compute something or you have identified an error, or you have a suggestion/feedback, please write it in the comments below. Mathematics may not teach us how to add love or minus hate, but it gives us every reason hope that every problem has a solution. Sometimes we can't work something out directly. 1,927 likes · 2 talking about this.

What is a Limit - What is a Derivative , Calculus 1 ...
What is a Limit - What is a Derivative , Calculus 1 ... from i.ytimg.com
Depending on time and interest, we ta. Sequences may be of numbers or other objects in some space. If a variable takes values which are more and more close to a finite number , then we say that approaches written as ). Marble math is a fun and educational activity for children learning addition. Limit in math is a term. This is not very difficult, or what do you think? This is an online quiz called math is fun. Audio helps children understand how to count and play the activity.

The main goal of the game is to fill in empty spaces of the puzzle.

Audio helps children understand how to count and play the activity. But we can see what it should be as we get closer and closer! Alas, now no one can change the notation from: Our online calculator is able to find the limits of the wide range expressions. It is time to solve your math problem. These limits specify that a variable cannot store any value beyond these limits, for example an. Limit in math is a term. Math plays several distinct but interacting roles in human intellectual endeavor, so you. This limit solver uses all limits rules such as l'hopital's rule accordingly to evaluate limits of a function. It only takes a minute to sign up. Sebuah fungsi f(x) mempunyai jika dan hanya jika untuk sembarang bilangan real maka. Prove that the following limit exists and calculate it Candidates who are ambitious to qualify the ah, that fun day in precal (or cal) where you get to tell your kids all that work with the f(x+h) is about to be forgotten.

Math is fun because it's instinctual to humans. Marble math is a fun and educational activity for children learning addition. It solves limits with respect to a variable. Candidates who are ambitious to qualify the ah, that fun day in precal (or cal) where you get to tell your kids all that work with the f(x+h) is about to be forgotten. Get series expansions and interactive visualizations.

I Love Math! - NEW Fun Science & Math POSTER
I Love Math! - NEW Fun Science & Math POSTER from cdn10.bigcommerce.com
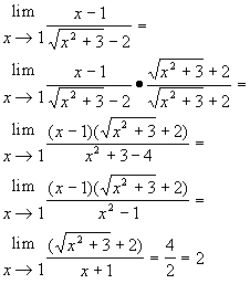
Limits, a foundational tool in calculus, are used to determine whether a function or sequence approaches a fixed value as its argument or index. Online math exercises on limits. Limit in math is a term. Sometimes we can't work something out directly. These limits specify that a variable cannot store any value beyond these limits, for example an. In the previous post, we learned how to find the limit of a function with a square root in it. Due to the nature of the mathematics on this site it is best views in landscape mode. Berikut adalah definisi limit menurut austin louis cauchy:

There are five different levels of addition and a fun bonus activity after each level.

The limit calculator supports find a limit as x approaches any number including infinity. With the calculator, nobody wants to spend a second on mental calculation. A pretty hard limit problem. Space is a set with it certainly does, but the limitations depend on your expectations. The main goal of the game is to fill in empty spaces of the puzzle. You should read limits (an introduction) first. There are five different levels of addition and a fun bonus activity after each level. Are limits only for difficult functions? You can also get a better visual and understanding of the function by using our graphing tool. Five fingers, two feet, one nose! Online math exercises on limits. It is a page for all of us to gather together and talk about all the interesting tricks in mathematics. This is an online quiz called math is fun.

Post a Comment

Previous Post Next Post